|
基本信息Personal Information
博士生导师
曾获荣誉:
国家自然科学基金优秀青年基金获得者,刘光鼎地球物理青年科学技术奖,傅承义青年科技奖,中国地球物理科学技术进步奖二等奖,自然资源青年科技奖,青年教师教学竞赛特等奖
李国立等-Geophysics: 井中三分量磁测数据频率域位场转换(2022-09-28)
发布时间:2025-12-27 点击次数:
近日,勘探地球物理权威期刊Geophysics在线发表了团队最新研究成果“Transformations of borehole magnetic data in the frequency domain and estimation of the total magnetization direction: A case study from the Mengku iron-ore deposit, Northwest China”。该成果推导了新的井中磁测频率域位场转换磁化方向和磁场分量转换因子,转换后的磁场分量可应用于磁化方向估计。论文第一作者为硕士研究生李国立同学,通讯作者为刘双副教授。
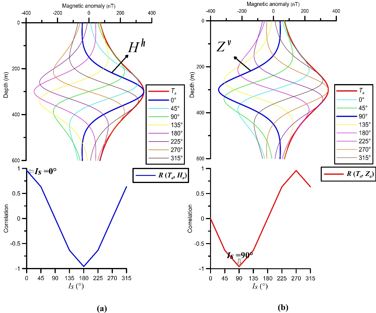
井中磁测测量磁场的三个分量,并且对磁源的垂向深度敏感,在深部矿产资源勘查中起着重要作用。频率域位场转换是地面和航空磁异常重要的数据处理方法,但很少应用于井中磁数据,这为井中磁数据的处理带来了困难,影响了井中磁测的进一步反演和解释。Gerovska等 (2009) 提出可以利用转换的化极 (RTP) 磁场和磁异常振幅 (Ta) 的相关系数来估计地面磁数据的总磁化方向。我们将该方法应用于井中磁数据,利用转换的磁分量与磁异常振幅的相关系数估计磁化方向。
针对以上问题,我们推导了井中数据的分量转换和磁化方向转换公式,发现转换因子与地面和航空磁数据的转换因子不同,井中磁数据转换因子与钻孔和磁源的相对位置有关。通过计算不同磁化倾角下水平分量和垂向分量分别与磁异常振幅之间的相关系数,利用转换后的水平磁化水平分量与Ta相关系数的极大值和垂直磁化垂向分量与Ta相关系数的极小值来估计总磁化方向。建立了具有不同磁化方向的圆柱体,叠加棱柱体和台阶模型来验证提出方法的有效性,证明了对于斜井提出的转换因子仍然有效。将方法应用于新疆蒙库铁矿区55个钻孔实测数据,结果表明估计的磁化方向与地面磁数据和岩石样品物理性质测量的结果非常接近,并且能反映井中局部的磁化方向。

图1 不同总有效磁化倾角下井中磁分量数据的相关性

图2 使用不同的磁化方向转换因子估计磁化方向时不同磁分量的相关曲线


图3 不同模型验证井中磁数据的分量变换和磁化方向变换的有效性


图4 蒙库铁矿区55个钻孔井中磁测数据估算的有效磁化倾角
该研究获国家自然科学基金(41874122、42122030)和中国石油天然气集团公司科研技术开发项目(2021DJ3706)联合资助。
论文信息:Li, G., S. Liu, K. Shi, H. Zhang, B. Zuo, D. Zhu and X. Hu, 2022, Transformations of borehole magnetic data in the frequency domain and estimation of the total magnetization direction: A case study from the Mengku iron-ore deposit, Northwest China: Geophysics, doi: 10.1190/geo2022-0216.1.
论文链接:https://doi.org/10.1190/geo2022-0216.1.

